Предмет: Алгебра,
автор: Аноним
"Куб суммы и куб разности".
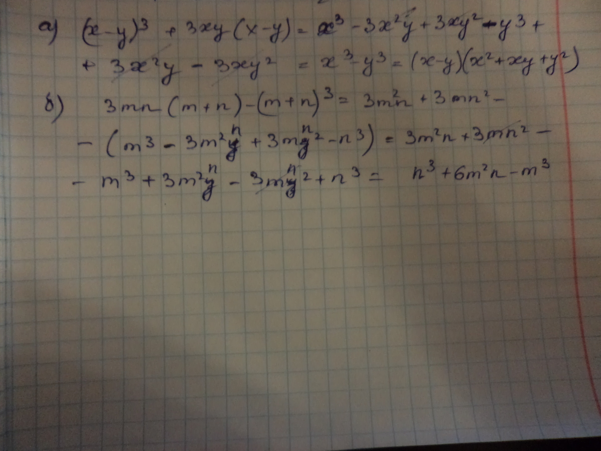
а)(х-у)^3+3ху(х-у)=?
б)3mn(m+n)-(m+n)^3=?
Ответы
Автор ответа:
0
решениееееееееееееееееееееееееееееееееее
Приложения:
Похожие вопросы
Предмет: Литература,
автор: romanvlasenko553
Предмет: Математика,
автор: milenapreger23
Предмет: Алгебра,
автор: mironbesedin7
Предмет: Алгебра,
автор: qwatra
Предмет: Математика,
автор: Sonyak01