Предмет: Физика,
автор: grinbergsofya
даю 100 баллов!!
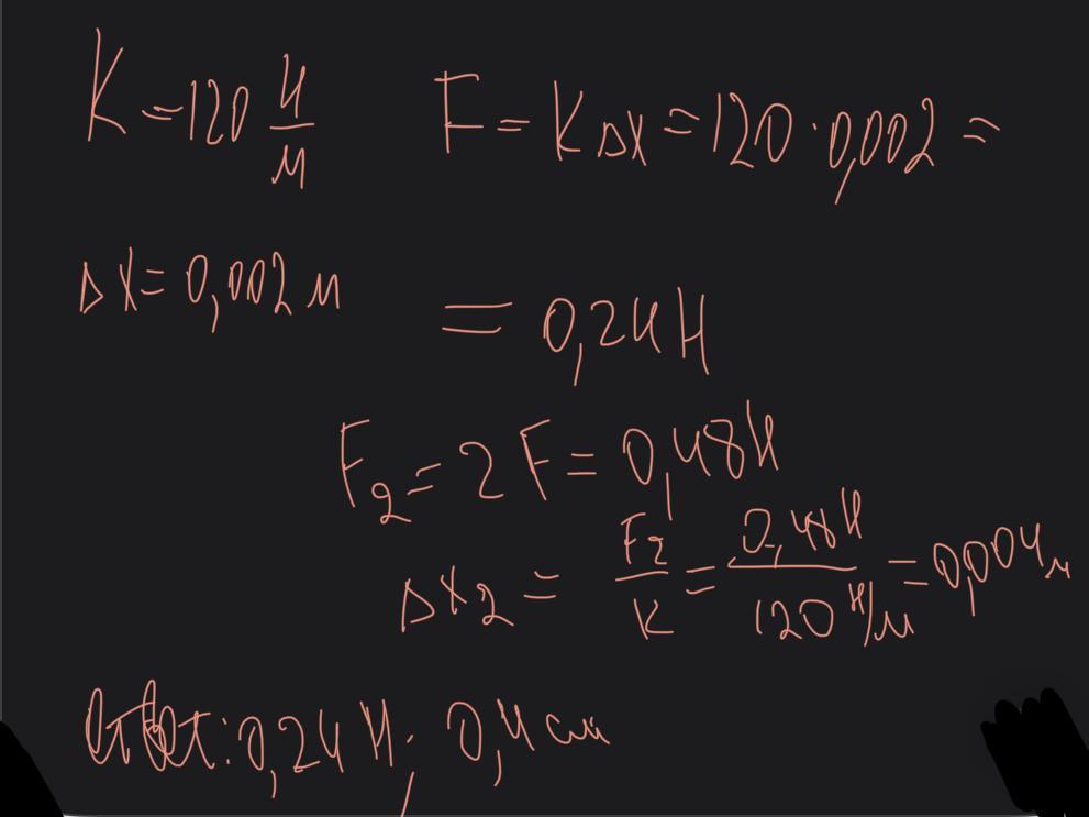
Чему равна сила сопротивления стальной пружины,если она сжалась на 0,2 см?На сколько деформируется та же пружина,если ее растягивать с той же силой,приложенной с обеих сторон?Коэффициент жесткости принять равным 120 Н/м.
физика 7 класс, задачник лозовенко
Ответы
Автор ответа:
2
Ответ: 0.4
0.24
Объяснение:
Приложения:
KuklkaV4:
Привет,прошу,не мог ли бы вы и мне помочь?последний вопрос заданный мной в профиле по физике 7 класс
спасибо большое!!
Неверно((
Автор ответа:
2
Чтобы сжать пружину, надо ее прикрепить к опоре.
F=k*x
F=120 * 0,002=0,24 H.
Это сила упругости или сопротивления деформации.
Теперь открепим пружину от опоры. Чтобы ее растянуть, надо вместо опоры растягивать пружину с двух сторон с той же силой. Тогда она растянется так же, как и раньше на 0,2 см или 0,002 м.
Деформация х в законе Гука может быть и растяжением и сжатием.
Ответ: 0,24 Н и 0,2 см.
спасибо тебе большое!!!
можешь пожалуйста помочь с последним вопросом у меня в профиле
Похожие вопросы
Предмет: Окружающий мир,
автор: olesia10106
Предмет: Қазақ тiлi,
автор: danagul05
Предмет: Английский язык,
автор: Татьяна198717
Предмет: Английский язык,
автор: shimorooo
Предмет: Математика,
автор: irinasibishyken