Предмет: Физика,
автор: deriop41
Помогите пожалуйста!!!! Умоляю!!!!!
Приложения:
Ответы
Автор ответа:
1
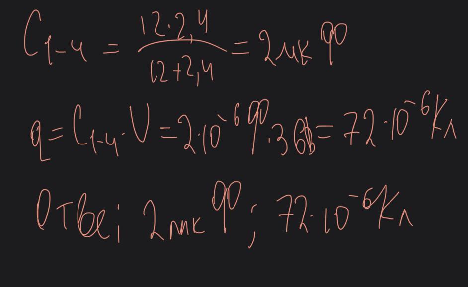
2 мкф
72 мк кл
Объяснение:
Приложения:
Похожие вопросы
Предмет: Английский язык,
автор: 123помоги345помоги
Предмет: Қазақ тiлi,
автор: shushnay
Предмет: Русский язык,
автор: насй
Предмет: Українська мова,
автор: Свєтазя