Предмет: Физика,
автор: Dipetrov228
Помогите срочно. Упражнение 22 по физике
Приложения:
Ответы
Автор ответа:
0
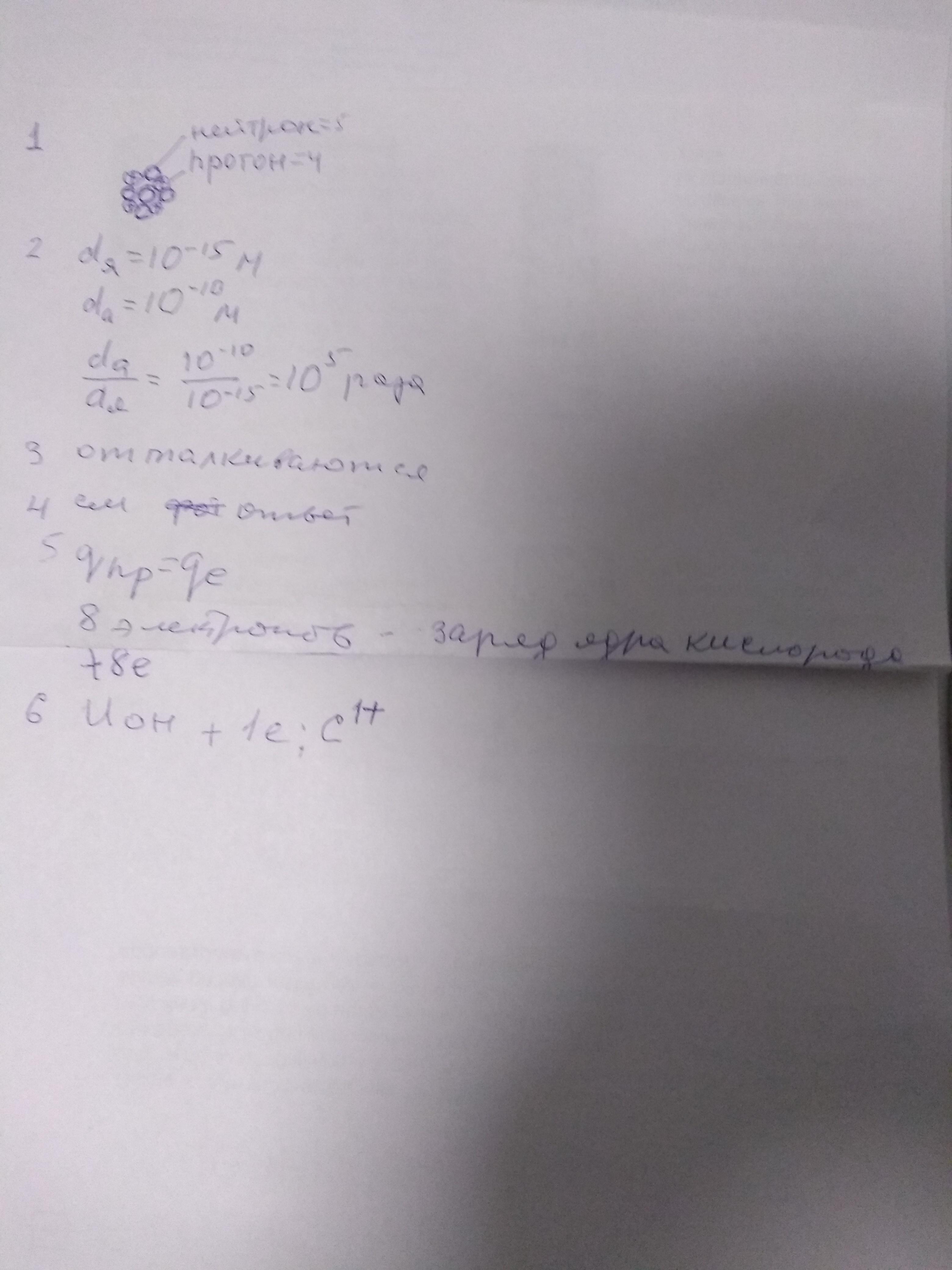
Ответ:
см фото
Объяснение:
4. нет так как любой заряд находится как целое число элементарных зарядов не бывает заряда в 0,5*e
Приложения:
Похожие вопросы
Предмет: Русский язык,
автор: АлисаЗверева
Предмет: Русский язык,
автор: dinka0802
Предмет: Русский язык,
автор: anuardul
Предмет: Литература,
автор: matveevdmitrij52
Предмет: Английский язык,
автор: Ler2007kavai