Предмет: Математика,
автор: asharbekovan
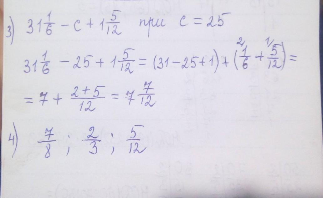
3. Найти значение выражения: 31 1\6 - c + 1 5\12 при c = 25.
4. Расположить числа в порядке убывания: 5\12; 7\8; 2/3
Приложения:
Ответы
Автор ответа:
1
Пошаговое объяснение:
Вот тебе ответ..........
Приложения:
asharbekovan:
Благодарю
Автор ответа:
1
Ответ:
Пошаговое объяснение:
31 16-25+7 5/12=(31-25+1)+(2/12+5/12)=7 7/12
7/8; 2/3; 5/12
Похожие вопросы
Предмет: Английский язык,
автор: 79030099547
Предмет: Английский язык,
автор: Аноним
Предмет: Русский язык,
автор: IELISIEIEVA78
Предмет: Алгебра,
автор: asfufuffkfka
Предмет: Русский язык,
автор: ANARIOXY