Предмет: Математика,
автор: SilTrack
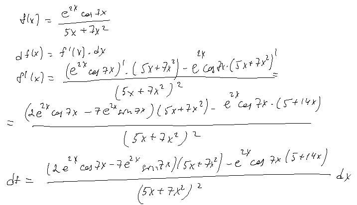
Найти дифференциал, срочно пожалуйста
Приложения:
Ответы
Автор ответа:
1
Ответ:
Пошаговое объяснение:
Приложения:
Похожие вопросы
Предмет: Русский язык,
автор: УМНИК39P
Предмет: Русский язык,
автор: МихаЯкубович
Предмет: Русский язык,
автор: Тема0508
Предмет: Математика,
автор: monipak
Предмет: Математика,
автор: malikoshka