Предмет: Алгебра,
автор: abramovap31
срочно пожалуйста 20 баллов
Приложения:
Simba2017:
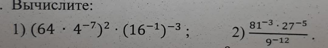
64=4^3;16=4^2
4^(2(3-7))*4^(2*3)=4^(-8+6)=4^(-2)=1/16
2)3^(4*(-3)+3*(-5)-2(-12)=3^(-27+24)=3^(-3)=1/27
Ответы
Автор ответа:
1
Объяснение:
решение дано , представляем в виде степени , упрощаем , и сокращаем
Приложения:
Похожие вопросы
Предмет: Қазақ тiлi,
автор: mari82pim
Предмет: Русский язык,
автор: кирилл778
Предмет: Английский язык,
автор: айн21
Предмет: История,
автор: витка10
Предмет: Алгебра,
автор: slava20035