Предмет: Алгебра,
автор: Albinaegorova152
Помогите пожалуйста, даю 20 баллов
Приложения:
Ответы
Автор ответа:
1
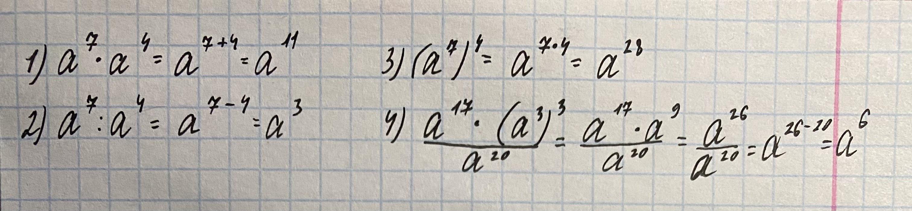
1)a⁷×a⁴=a¹¹
2)a⁷:a⁴=a³
3)(a⁷)⁴=a²⁸
4)a¹⁷×(a³)³/a²⁰=a¹⁷×a⁹:a²⁰=a²⁶:a²⁰=a⁶
Автор ответа:
1
Ответ на данный вопрос во вложении:
Приложения:
Похожие вопросы
Предмет: Русский язык,
автор: DendiYT
Предмет: Українська мова,
автор: eva1209
Предмет: Русский язык,
автор: ekSayz
Предмет: Русский язык,
автор: nato80
Предмет: Математика,
автор: foxi24na7