Предмет: Геометрия,
автор: simald8484
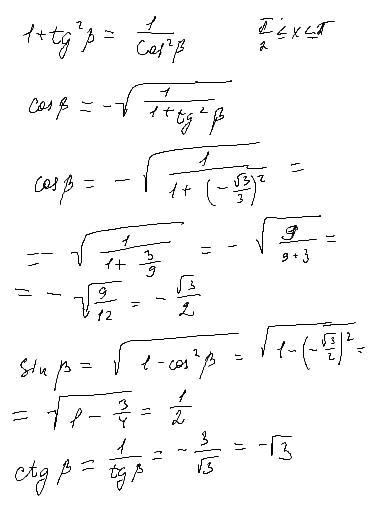
Найдите неизвестные тригонометрические функции угла, если (указано на скриншоте) , а угол β лежит во второй четверти.
Выполняя задание, необходимо записывать подробное решение.
Приложения:
Ответы
Автор ответа:
2
Ответ:
Объяснение:
Синус во второй четверти >0, косинус - <0
Приложения:
Похожие вопросы
Предмет: Русский язык,
автор: daniyalagjanyli
Предмет: Русский язык,
автор: rais3
Предмет: Қазақ тiлi,
автор: якнопка
Предмет: Другие предметы,
автор: polinamayn0401
Предмет: Русский язык,
автор: zazazazazazatts