Предмет: Алгебра,
автор: кантре
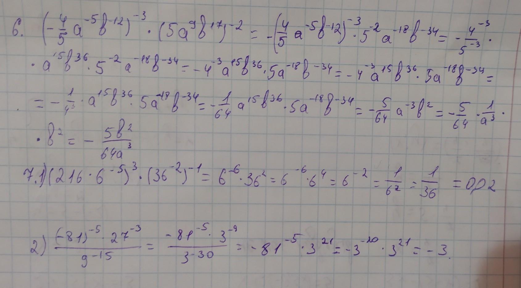
Помогите решить Алгебру 8 класс.Задания с 6 по 7. Даю 20 баллов. Файл прилагается. Спасибо.
Приложения:
Ответы
Автор ответа:
1
Ответ: на фото
Объяснение:
Приложения:
Похожие вопросы
Предмет: Английский язык,
автор: василиса146
Предмет: Русский язык,
автор: psplay
Предмет: Русский язык,
автор: jaffara
Предмет: Қазақ тiлi,
автор: ggg1574
Предмет: География,
автор: varya7120