Предмет: Алгебра, автор: sladkoeshkaua

помогите пожалуйста даи 51 бал​

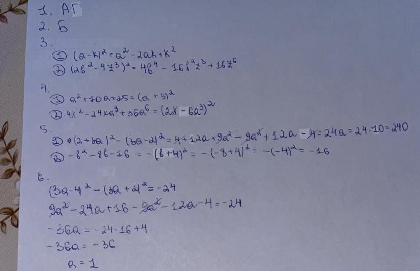
Приложения:

Ответы

Автор ответа: ln41431003
1
Пожалуйста сделайте как «лучший вариант»
Приложения:

sladkoeshkaua: приложение
ln41431003: Самая левая иконка есть «спроси» и туда нажимаете, там можно задать вопрос)
sladkoeshkaua: это на какой вкладке
ln41431003: Внизу приложения есть три иконки «спроси» «ответь» и «профиль» нужно нажать на «спроси»,чтобы задать вопрос
sladkoeshkaua: у меня вместо спроси узнай
ln41431003: Ну значит туда нажимайте)
sladkoeshkaua: в это вкладке есть проскакивать вопрос
sladkoeshkaua: а спроси нету(
ln41431003: Ну тогда ,увы, не могу помочь вам
sladkoeshkaua: спасибо)
Похожие вопросы
Предмет: Русский язык, автор: Аноним
Предмет: Математика, автор: rperun2000