Предмет: Алгебра,
автор: ggfgyyff5655
Нужна срочная помощь с Алгеброй, 11 класс!!!
Приложения:
Ответы
Автор ответа:
1
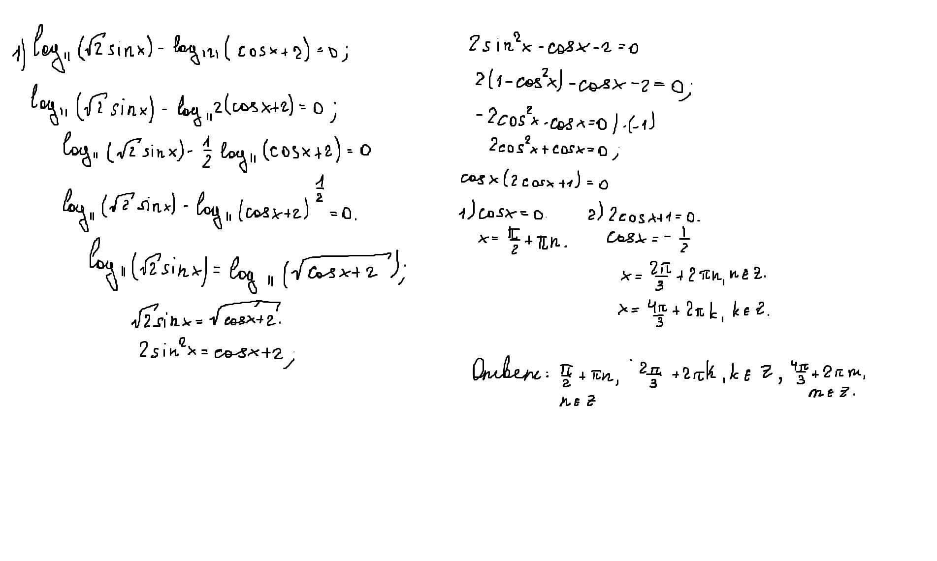
Тут только решение первого пункта.
Приложения:
ggfgyyff5655:
А решение второго пункта планируется, или же вы остановитесь на этом?
Если вы планируете решение второй части, то я готов выложить это задание дважды. Здесь вы оставите решение первой части, а вторую часть напишите во второй публикации.
Баллами не обделю. Их будет столько же, сколько и здесь, то ест 100(для вас 50)
решаю я через синусоиду 2 пункт, а вы через окружность. Это разные способы
Автор ответа:
1
Ответ:
Объяснение:
!!!!!!!!!!!!!!!!!!!!!!
Приложения:
Похожие вопросы
Предмет: Окружающий мир,
автор: Пдтшьр
Предмет: Английский язык,
автор: Аноним
Предмет: Русский язык,
автор: Земляляничка
Предмет: МХК,
автор: аноним0анонимно