Предмет: Алгебра,
автор: amoyan27
помогите срочно пжпж
Приложения:
Ответы
Автор ответа:
1
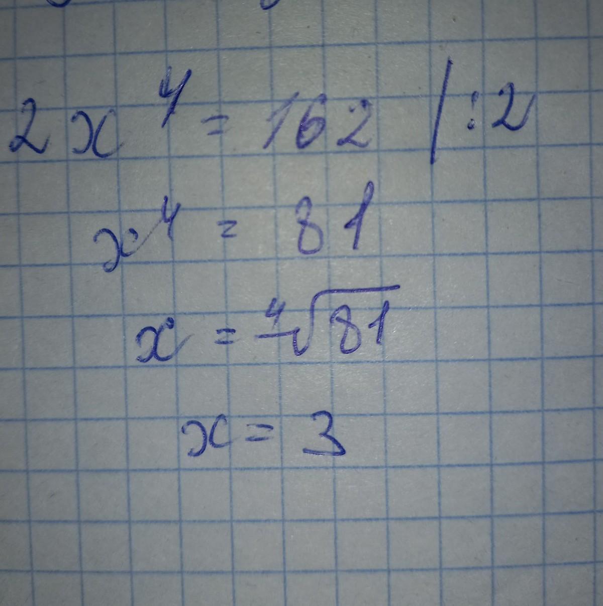
Вложение фото решения, ответа.
Приложения:
Автор ответа:
0
Ответ:
при х = 9
Объяснение:
162 : 2 = 81
корень 81 равен 9
значит одночлен принимает значение при х = 9
Похожие вопросы
Предмет: Английский язык,
автор: Suhodaevav
Предмет: Английский язык,
автор: Brain050
Предмет: Русский язык,
автор: лулу25
Предмет: Қазақ тiлi,
автор: belkin6