Предмет: Алгебра,
автор: nadagoncarova72
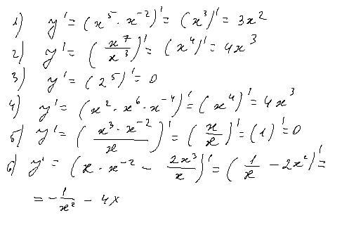
знайти похідну функції
Приложения:
Ответы
Автор ответа:
1
Ответ:
Объяснение:
спрощуємо вираз і знаходимо похідну
Приложения:
Похожие вопросы
Предмет: Русский язык,
автор: Арианна1234
Предмет: Русский язык,
автор: Аноним
Предмет: Русский язык,
автор: jgjhgj
Предмет: Алгебра,
автор: andaborog
Предмет: Окружающий мир,
автор: masiponi98