Предмет: Алгебра, автор: Аноним

НАЙТИ ЗНАЧЕНИЕ Х, ПРИ КОТОРОМНАЙТИ ЗНАЧЕНИЕ Х, ПРИ КОТОРОМ ЗНАЧЕНИЕ АЛГЕБРАИЧЕСКОГО ВЫРАЖЕНИЯ РАВНО 1:
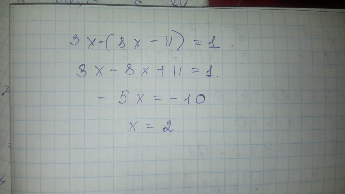
3х-(8х-11) 
plese помогите!!!!!!!!!!!!!!!!!

Ответы

Автор ответа: prostomama1
0
""""""""""""""""""""""""""""""""""""""
Приложения:
Похожие вопросы
Предмет: История, автор: Аноним
ПОМОГИТЕ РЕШИТь ТЕСТ ДАЮ 15 баллов
1. Достопримечательностями Вавилона в период расцвета Нововавилонского царства были
А) ворота богини Иштар
Б) Дорога процессий, вымощенная каменными плитами
В) храм в Луксоре
Г) сады царицы Семирамиды
Д) скальная гробница царицы Хатшепсут

2. Соотнесите правителя (или героя) и страну
А) Гильгамеш 1) Вавилонское царство
Б) Эхнатон 2) Шумер
В) Хаммурапи 3) Древний Египет
Г) Навуходоносор 4) Нововавилонское царство



3. Исторический факт, который нашел свое отражение в Библии в рассказе о пире Валтасара
А) Завоевание Ассирией Палестины
Б) Расцвет Вавилонского царства при Хаммурапи
В) Введение культа единого бога Атона
Г) Взятие Вавилона персами

4. Нововавилонское царство возникло
А) 636 год до н.э.
Б) 626 год до н.э.
В) 616 год до н.э.
Г) 605 год до н.э.

5. Когда персы завоевали Нововавилонскую державу?
А) 558 год до н.э.
Б) 539 год до н.э.
В) 525 год до н.э.
Г) 519 год до н.э.