Предмет: Алгебра,
автор: Аноним
С полным решением!!!!!
Приложения:
Аноним:
а можно спросить сколько впм лет
Ответы
Автор ответа:
0
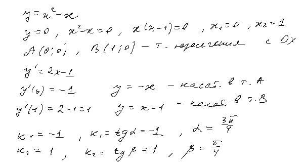
Ответ:
Объяснение:
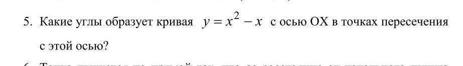
угол между кривой и осью равен углу между касательной в этой точке и осью
Приложения:
Похожие вопросы
Предмет: Немецкий язык,
автор: kamilaameskan
Предмет: Українська мова,
автор: ruslandmitriev1984
Предмет: Русский язык,
автор: Shaxzoda04
Предмет: Алгебра,
автор: леха12345678905
Предмет: Математика,
автор: nata021282