Предмет: Алгебра,
автор: Аноним
Производная , нужно решить!!!
Приложения:
Ответы
Автор ответа:
1
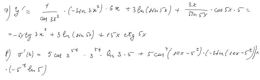
Ответ:
Объяснение:
сложенная функция
Приложения:
Похожие вопросы
Предмет: Русский язык,
автор: AntLyah
Предмет: Русский язык,
автор: 456118
Предмет: Русский язык,
автор: Galeaf
Предмет: Русский язык,
автор: gulfarka
Предмет: Алгебра,
автор: Аноним