Предмет: Алгебра,
автор: gufi189266
вОТ Помогите пж
пжжжжжжпжпжжпжпжпжпжпжпжпжж
Приложения:
Ответы
Автор ответа:
1
Ответ: х = 2
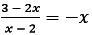
Объяснение:(х - 1) (х + 5) = x2 + 4x - 5
3 – 2х - х2 = х – (х - 1) (х + 5)
3 - 2x - x2 = - x2 - 3x + 5
x = 5 - 3
x = 2
vvolkovaaa:
Это не правильно
Автор ответа:
0
Вот, пыталась быстро, сорри, что не аккуратно
Приложения:
Похожие вопросы
Предмет: Другие предметы,
автор: природознавство15
Предмет: Русский язык,
автор: Анэля111
Предмет: Русский язык,
автор: wwwStayllinka
Предмет: Алгебра,
автор: maksim17202
Предмет: Математика,
автор: olesyachavdar