Предмет: Математика,
автор: ahalitov593
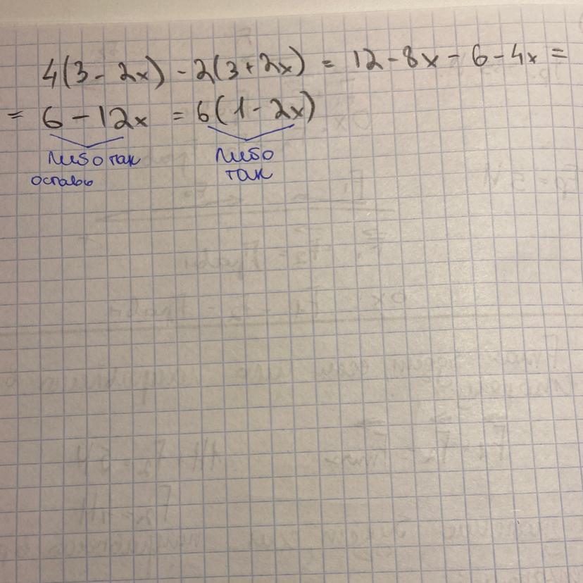
упростите выражение 4*(3-2x)-2*(3+2x)
Ответы
Автор ответа:
1
Решение этого примера прикрепила в фотографии:
Приложения:
Похожие вопросы
Предмет: Немецкий язык,
автор: ZhenyaTanki
Предмет: Английский язык,
автор: PROFESSIONALL
Предмет: Русский язык,
автор: nadegda170329
Предмет: Русский язык,
автор: ffff2014
Предмет: Математика,
автор: snickers7518