Предмет: Алгебра,
автор: ВяЧиСлАв
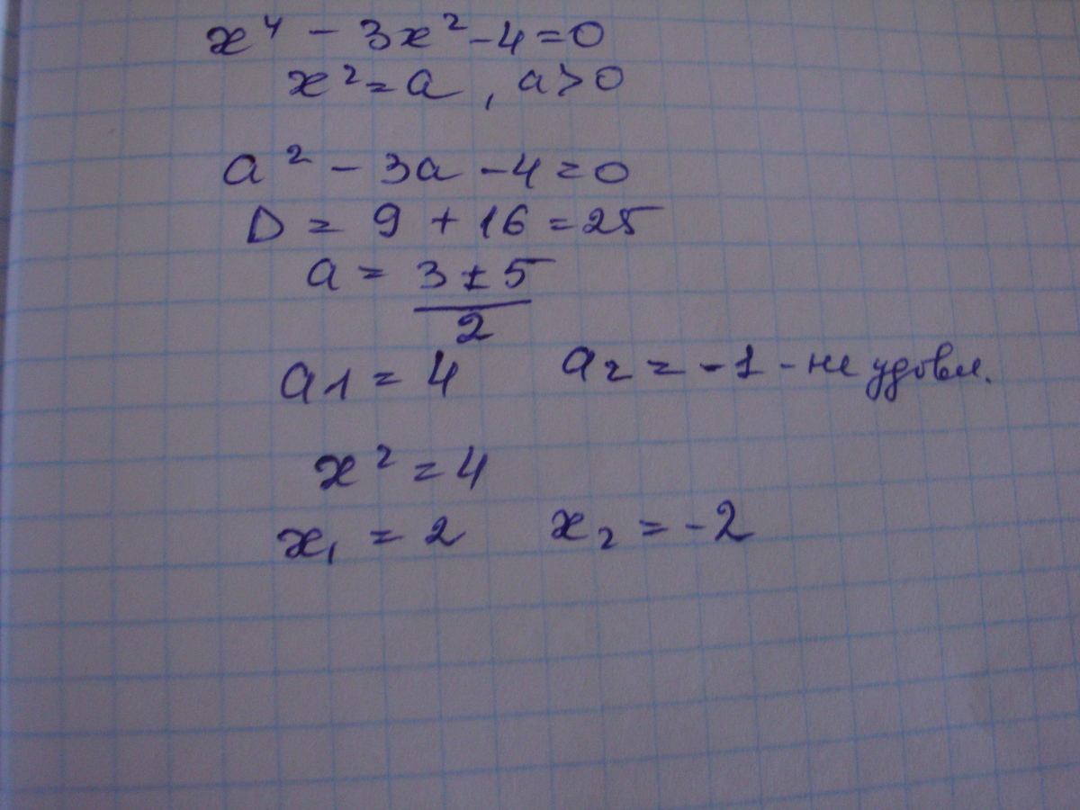
решите уравнение х^4-3х^2-4=0
Ответы
Автор ответа:
0
решениеееееееееееееееееееееееее
Приложения:
Похожие вопросы
Предмет: Геометрия,
автор: gladyshew89
Предмет: Математика,
автор: Аноним
Предмет: Математика,
автор: artalechka
Предмет: Литература,
автор: kmo
Предмет: География,
автор: малина1234