Предмет: Математика,
автор: loxl9732
очень надо помогите пожалуйст
Приложения:
Ответы
Автор ответа:
0
Ответ:
Пошаговое объяснение:
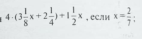
4(25х/8 + 9/4) + 3х/2 = 25х/2 + 9 + 3х/2 = (25х+3х)/2 + 9 =
= 28х/2 + 9 = 14х + 9
При х = 2/7
14 × 2/7 + 9 = 2×2 + 9 = 4 + 9 = 13
Похожие вопросы
Предмет: Английский язык,
автор: MissTracy
Предмет: Английский язык,
автор: Аноним
Предмет: Русский язык,
автор: krouz02
Предмет: Алгебра,
автор: Creativepeach
Предмет: Литература,
автор: 13566314