Предмет: Алгебра,
автор: hukkoc
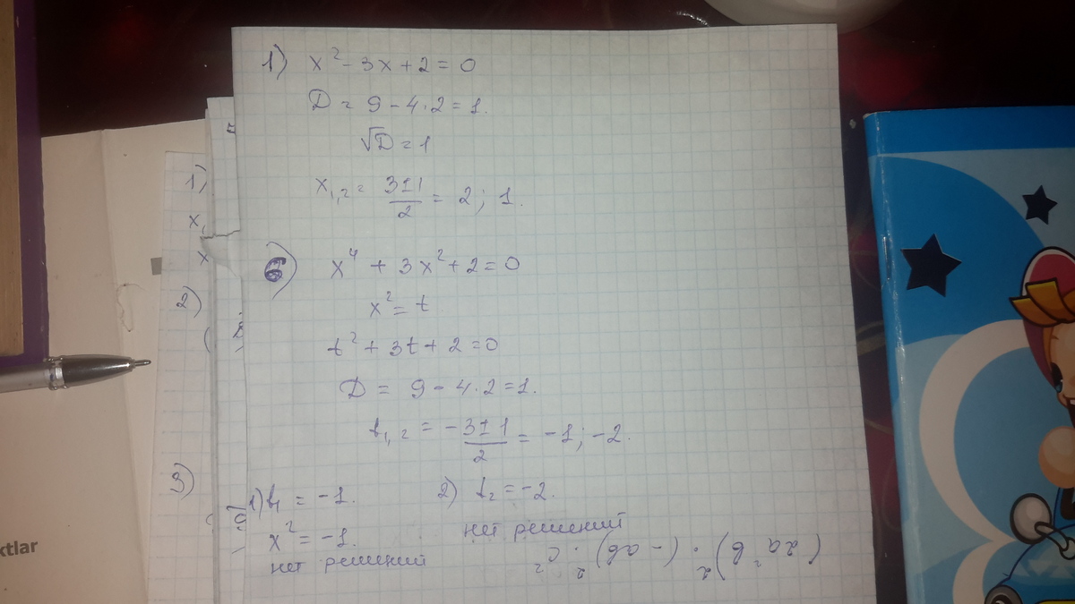
Квадратные уравнения! У меня с ними очень плохо. Помогите пожалуйста!
Приложения:
Ответы
Автор ответа:
0
"""""""""""""""""""""""""""""""""""""""""""
Приложения:
Автор ответа:
0
Ок
Автор ответа:
0
Те которые были решены по теореме Виета заново решила и добавила на страницах 4 и5 Удачи
Автор ответа:
0
Спасибо
Похожие вопросы
Предмет: Математика,
автор: Аноним
Предмет: Русский язык,
автор: accaunt358
Предмет: История,
автор: zairradzab
Предмет: Математика,
автор: ника606
Предмет: Математика,
автор: Seban