Предмет: Алгебра,
автор: ddlwrb
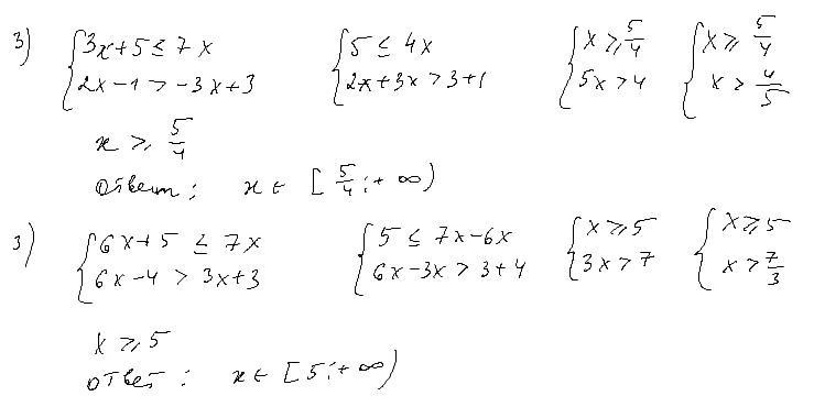
помогите решить эти примеры 3/3 ПОЖАЛУЙСТА!!
Приложения:
Ответы
Автор ответа:
0
Ответ:
Объяснение:
Упростить, свести подобные
Приложения:
Похожие вопросы
Предмет: Русский язык,
автор: поь8
Предмет: Русский язык,
автор: Аноним
Предмет: Русский язык,
автор: БурдаБурдецкая
Предмет: Алгебра,
автор: sanzarova495
Предмет: История,
автор: Xanachi