Предмет: Алгебра,
автор: SenpaiFantik
Помогите решить до четверга пж.
Приложения:
Ответы
Автор ответа:
1
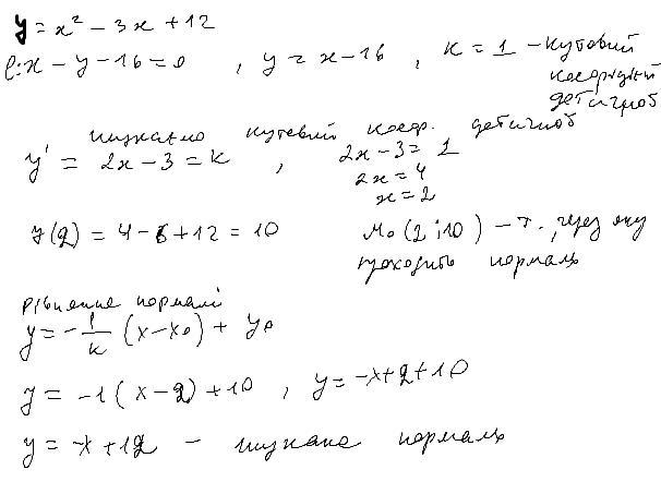
Ответ:
Объяснение:
найбільшу площу матиме рівнобедренний прямокутний трикутник
Приложения:
dashulka22222:
есть и третья задача. Создайте вопрос
третью задачу я уже решил, спасибо
Похожие вопросы
Предмет: Английский язык,
автор: Alibi00
Предмет: Английский язык,
автор: karinamarina1982
Предмет: Українська література,
автор: 31984
Предмет: Музыка,
автор: SofiaKup