Предмет: Геометрия,
автор: snusoedov
Геометрия. Помогите пожалуйста срочно очень
Приложения:
Ответы
Автор ответа:
0
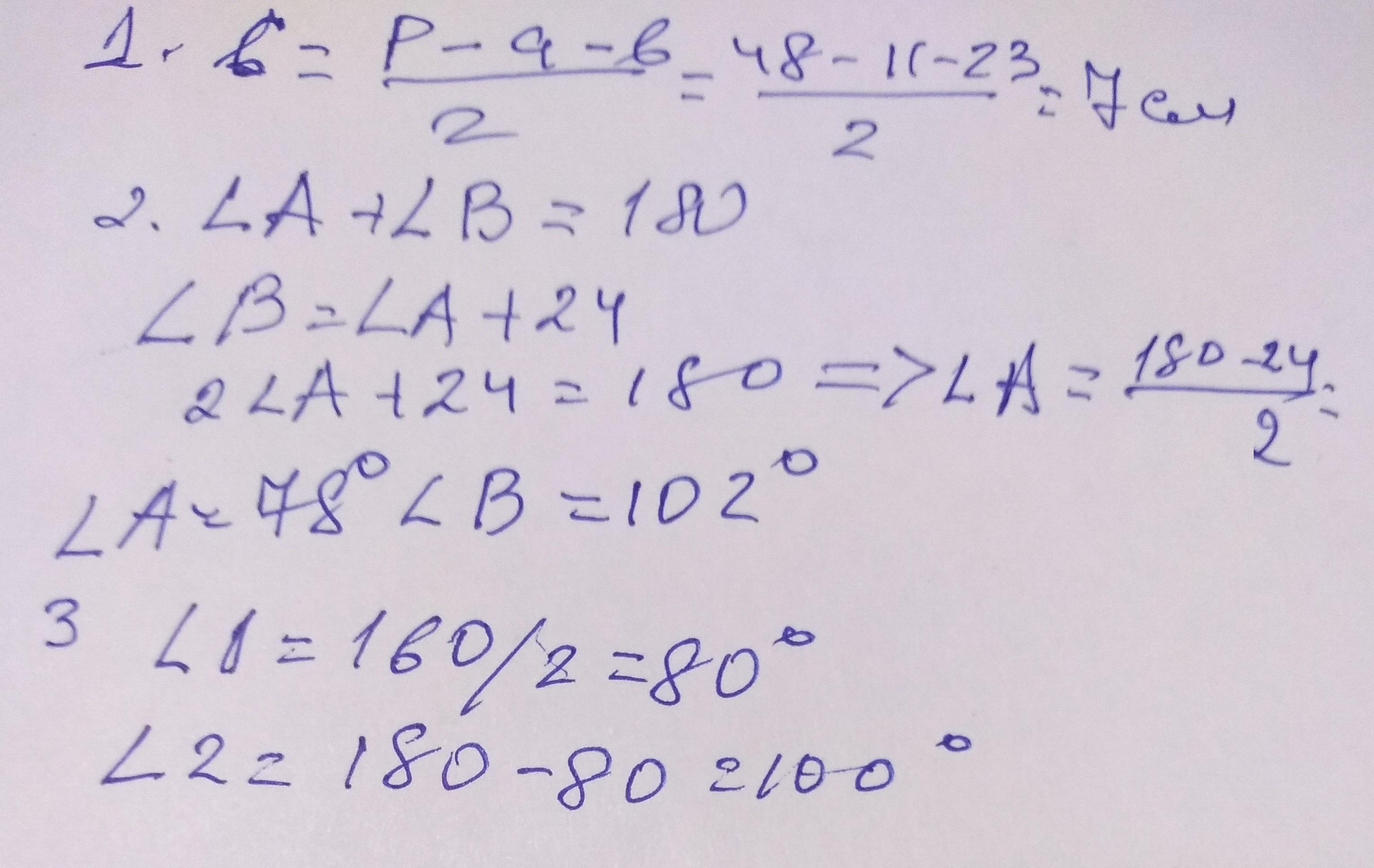
Ответ:
см фото
Объяснение:
Приложения:
Похожие вопросы
Предмет: Русский язык,
автор: kissmiss513
Предмет: Українська мова,
автор: Мартаx17
Предмет: Русский язык,
автор: тупица29
Предмет: Математика,
автор: dontsura14
Предмет: Английский язык,
автор: Аноним