Предмет: Математика,
автор: aslan010711
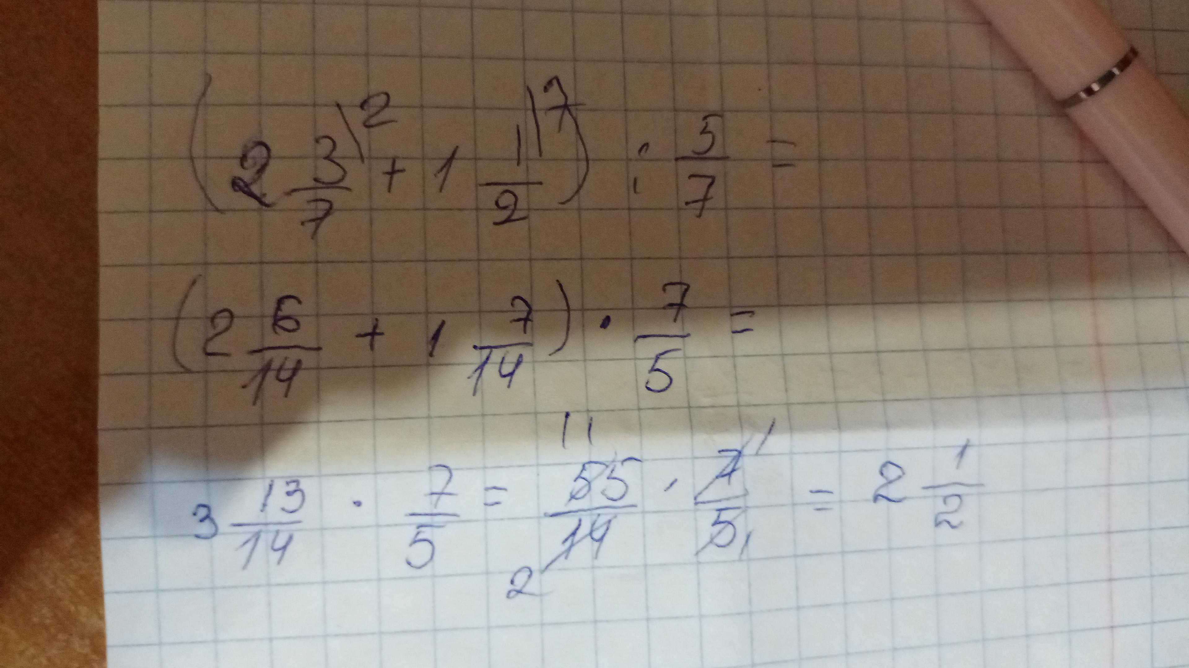
538. Найдите значения выражений всё подробно! дам 10 баллов
Приложения:
Ответы
Автор ответа:
0
Ответ:
Пошаговое объяснппаввввввчччччччвввчвчввввввввваееееееппррррр
Приложения:
Похожие вопросы
Предмет: Английский язык,
автор: dashylichka2002
Предмет: Английский язык,
автор: роооооооорр
Предмет: Русский язык,
автор: nur002
Предмет: Математика,
автор: alyaidkaeva
Предмет: Русский язык,
автор: znurymova80