Предмет: Алгебра,
автор: hovhannisyanvarduhi3
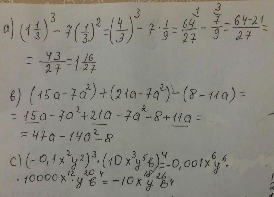
a) (1 1/3)³-7(1/3)²
b) (15a-7a²)+(21a-7a²)-(8-11a)
c) (-0,1x²y²)³×(10x³y⁵b)⁴
Ответы
Автор ответа:
0
Ответ:
.......................................
Приложения:
pls
pls
Похожие вопросы
Предмет: Русский язык,
автор: 123s123s2
Предмет: Русский язык,
автор: аb0509
Предмет: Русский язык,
автор: виноград4
Предмет: Обществознание,
автор: ninak123456bina
Предмет: Алгебра,
автор: eruchka13
B) 9,2a-3a² если a=1,4