Предмет: Алгебра,
автор: meeeeeeeeeeeeeeeooow
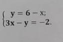
решите систему уравнений графическим способом
Приложения:
meeeeeeeeeeeeeeeooow:
я пропустила эту тему из за того что заболела (0(
Ответы
Автор ответа:
1
Ответ:
Объяснение:
Смотри вложение
Приложения:
спасибо вам <3
Похожие вопросы
Предмет: Русский язык,
автор: Yana2279
Предмет: Английский язык,
автор: Mimishka15
Предмет: Русский язык,
автор: ИминитаЭлиза
Предмет: Химия,
автор: daulet13uzakbaev
Предмет: Русский язык,
автор: Vladikpro7