Предмет: Алгебра, автор: antongolovko

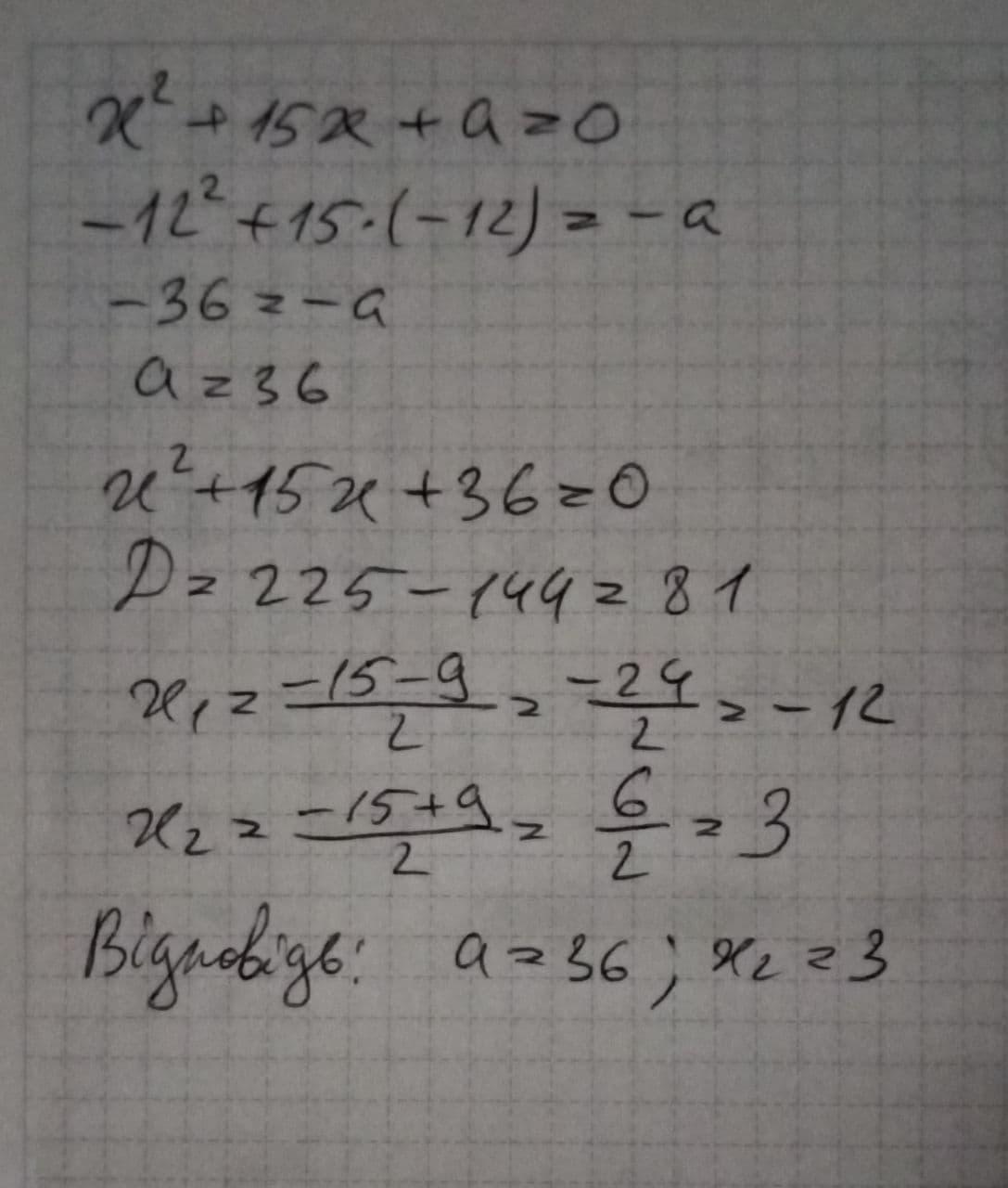
Число -12 є коренем рівняння х2 + 15х + а = 0. Знайти значення а і
другий корінь рівняння.

Ответы

Автор ответа: PIRAT1C
2

Ответ:

Объяснение:

надеюсь помог

Приложения:
Похожие вопросы
Предмет: Английский язык, автор: mononon
Предмет: Русский язык, автор: валя57
Предмет: Русский язык, автор: alfyia2
Предмет: Обществознание, автор: dianadream19
Предмет: Математика, автор: TheOlegFeed