Предмет: Алгебра,
автор: Аноним
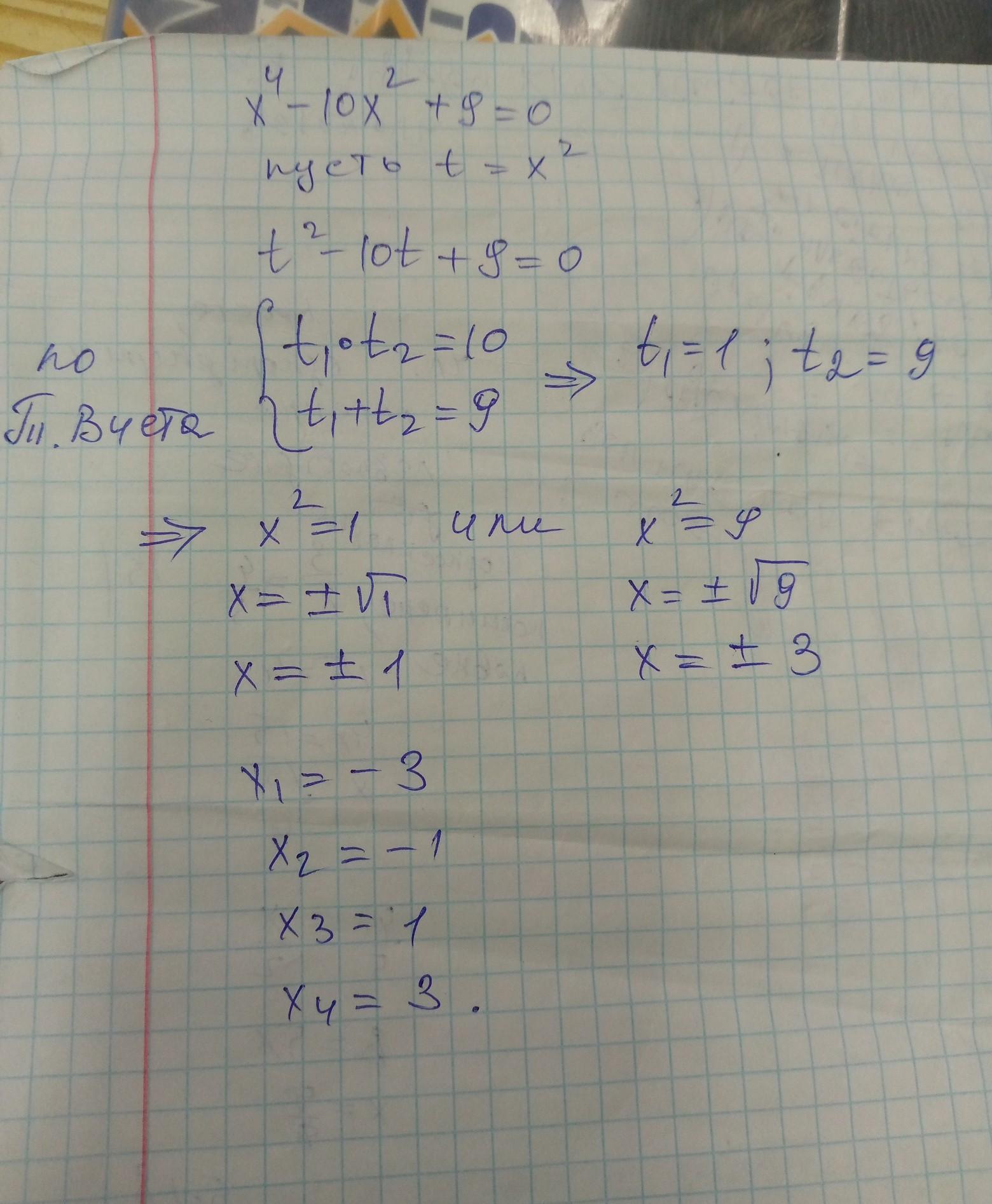
решите биквадратное уровнение x⁴-10x²+9=0
Ответы
Автор ответа:
1
Ответ:
пусть х²=t
t²-10t+9=0
t=1
t=9
вернёмся к замене
х² = 1
х²= 9
х= ±1
х= ±3
semekagena:
оцените как лушчий пожалуйста
Автор ответа:
1
Ответ:
решение на фото/////////////////////
Приложения:
Похожие вопросы
Предмет: Русский язык,
автор: макс1498
Предмет: Русский язык,
автор: арам13
Предмет: Українська мова,
автор: syablevskayaSonya
Предмет: Обществознание,
автор: TupoiGusi
Предмет: Геометрия,
автор: 19844819