Предмет: Алгебра,
автор: nastykormyshkova

помогите срочно, прошу
Ответы
Автор ответа:
5
Ответ:
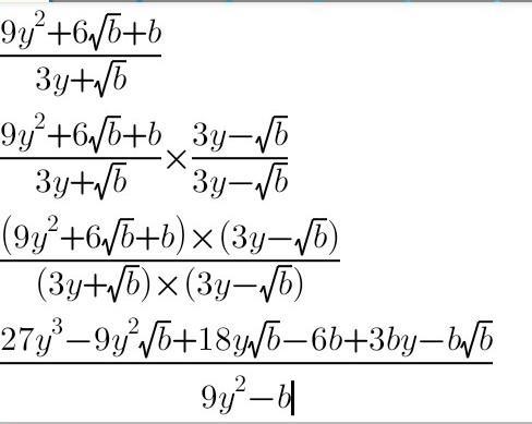
Довольно так и сложный пример
Приложения:
nastykormyshkova:
спасибо
всегда пожалуйста
Похожие вопросы
Предмет: Русский язык,
автор: Diko101
Предмет: Английский язык,
автор: xXxKissuliaxXx
Предмет: Русский язык,
автор: goshafirsov96
Предмет: Математика,
автор: зарина302