Предмет: Химия,
автор: LOLABUNNY777
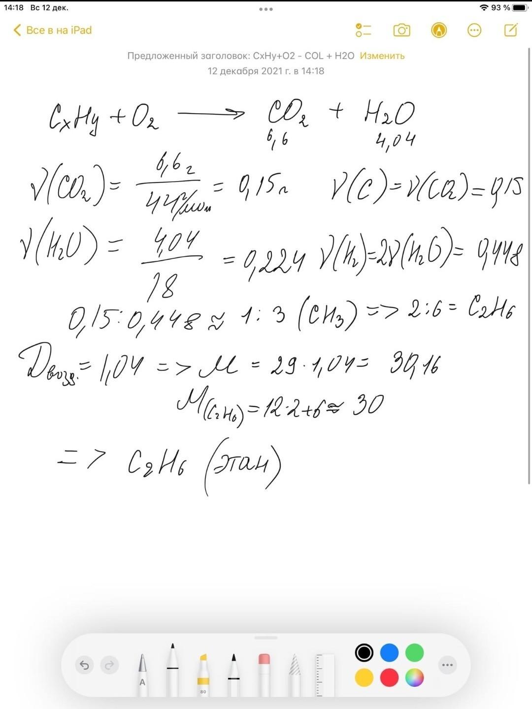
при сжигании газообразного углеводорода образовалось 6,6 оксида углерода |V и 4,04 г воды. Плотность углеводорода по воздуху равна 1,04. Определите формулу углеводорода.
Оч срочно
kinoly:
6,6 грамм или литров?
Ответы
Автор ответа:
2
Ответ:
C2H6
Объяснение:
на картинке всё решение
Приложения:
а почему 2:6?
ch3 не подходит по формуле, плюс молярная масса другая
по воздуху 30 а тут 15 получается
ок
Похожие вопросы
Предмет: Русский язык,
автор: ольга866
Предмет: Русский язык,
автор: 1228kalina
Предмет: Русский язык,
автор: Lena19891
Предмет: Английский язык,
автор: shestopal723
Предмет: Українська література,
автор: alinausenkoiam