Предмет: Математика,
автор: malikaesenali09
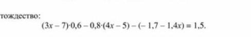
помогите решить пожалуйста пример
Приложения:
Ответы
Автор ответа:
4
Ответ:
Ответ в изображении
Пошаговое объяснение:
Если не сложно,можете сделать этот ответ лучшим, пожалуйста,буду благодарен
Приложения:
Похожие вопросы
Предмет: Английский язык,
автор: elvirasuleyman
Предмет: Английский язык,
автор: Akhmedova2005
Предмет: Английский язык,
автор: AlinaSim2006
Предмет: Математика,
автор: alex33105698
Предмет: Математика,
автор: slimick