Предмет: Алгебра, автор: Sveta37737

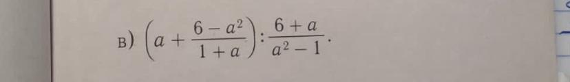
Решите пожалуйста выражение по алгебре

Приложения:

Ответы

Автор ответа: bertramjeratire
1

Ответ:

 \frac{a(1 + a) + 6 -  {a}^{2} }{1 + a}  \times  \frac{ {a}^{2} - 1 }{6 + a}  =  \frac{a +  {a}^{2} + 6 -  {a}^{2}  }{1 + a}  \times  \frac{(a - 1)(a + 1)}{6 + a}  = a - 1

Автор ответа: alinkamakeeva01
1

Ответ:

а-1. всё довольно быстро сокращается :)

Приложения:
Похожие вопросы
Предмет: Русский язык, автор: mima78