Предмет: Математика,
автор: donatn0605
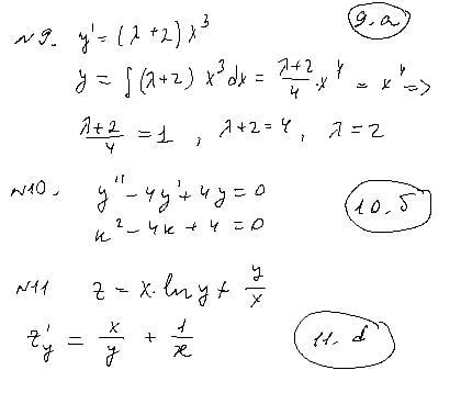
Помогите с тремя вопросами из теста пожалуйста!
Фото во вложении.
Приложения:
Ответы
Автор ответа:
1
Ответ:
Пошаговое объяснение:
Приложения:
Похожие вопросы
Предмет: Русский язык,
автор: алди5
Предмет: Английский язык,
автор: Zhibek1907
Предмет: Английский язык,
автор: Ника12111113
Предмет: Алгебра,
автор: 27276373
Предмет: Литература,
автор: alekceilixa