Предмет: Математика,
автор: neaxbs96
f(x)=1,2x+L
L-?
L(7,2)=3
СРОЧНО!!!!
Ответы
Автор ответа:
0
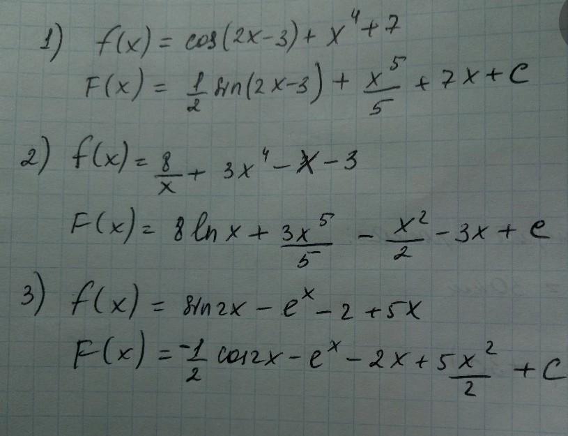
Ответ:
Вроде так
Пошаговое объяснение:
Если неправильно то сори...
Приложения:
Похожие вопросы
Предмет: Русский язык,
автор: pavelpotapov7
Предмет: Українська мова,
автор: 0ZamoKosmo0
Предмет: Русский язык,
автор: кот401
Предмет: Математика,
автор: lizaag4
Предмет: История,
автор: dinarikovna