Предмет: Алгебра,
автор: DazaiOsamu14
Помогите пожалуйстааа 10 класс
Приложения:
Ответы
Автор ответа:
2
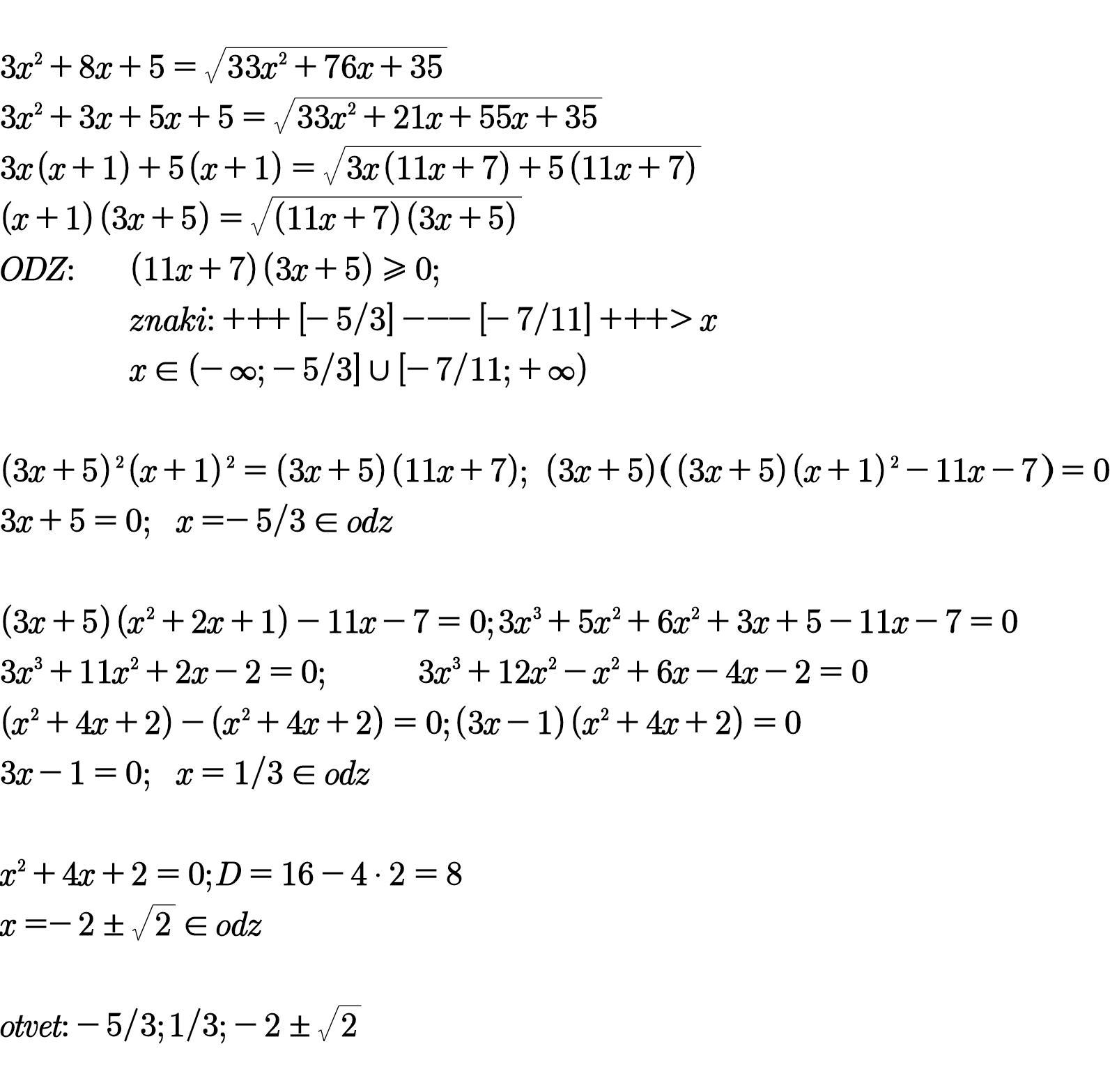
Ответ:
Объяснение:
.....................
Приложения:
Похожие вопросы
Предмет: Французский язык,
автор: klara4
Предмет: Английский язык,
автор: Аноним
Предмет: Русский язык,
автор: САШ555
Предмет: Математика,
автор: svetlana111137
Предмет: Математика,
автор: bogatova1961