Предмет: Математика,
автор: maxepic588
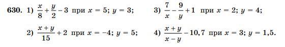
пожалуйста помогите эту задачу
Приложения:
Ответы
Автор ответа:
0
Ответ:
Подробное решение во вложении
Приложения:
Похожие вопросы
Предмет: Русский язык,
автор: Ленусик23456
Предмет: Русский язык,
автор: bav143
Предмет: Русский язык,
автор: марк0903
Предмет: География,
автор: Gogolev777
Предмет: Математика,
автор: wei99