Предмет: Математика,
автор: nataliakalashnp6mk37
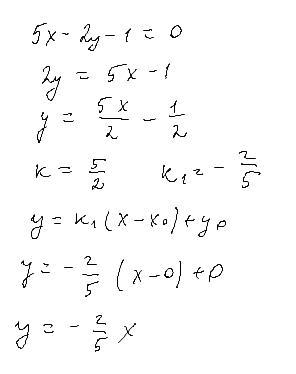
Написати рівняння прямої, що проходить через початок координат, перпендикулярно до лінії
5x − 2y −1 = 0
Ответы
Автор ответа:
1
Ответ:
Пошаговое объяснение:
Приложения:
Похожие вопросы
Предмет: Русский язык,
автор: Лизо4кa
Предмет: Окружающий мир,
автор: Аноним
Предмет: Английский язык,
автор: Zasekrechennaya
Предмет: Алгебра,
автор: vbloshenkov
Предмет: Математика,
автор: zebelikarina7