Предмет: Математика, автор: mlilina

помогите с математикойй плиз​

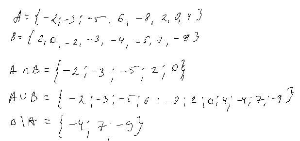
Приложения:

dashulka22222: последнее, что означает? В с волной?
mlilina: https://znanija.com/task/47057322
mlilina: да
mlilina: а дай свой номер

Ответы

Автор ответа: dashulka22222
1

Ответ:

Пошаговое объяснение:

Без последнего, извините

Приложения:

mlilina: хорошо, но тогда можна к тебе если что еще буду обращаться? спасибо большое. ты гений.
dashulka22222: а что означает последнее: В с черточкой? что нужно найти. Я не знаю этого символа
dashulka22222: обращайся
mlilina: хорошо, я сама если честно не поняла. ну и на этом спасибо, что помогла, благодарю
Похожие вопросы
Предмет: Қазақ тiлi, автор: сен6
Предмет: Английский язык, автор: Аноним
Предмет: Математика, автор: gadkaja200873
Предмет: ОБЖ, автор: aka49