Предмет: Математика,
автор: Аноним
помогите плииииз даю 5 баллов
Приложения:
natali198112306:
1/20
Ответы
Автор ответа:
0
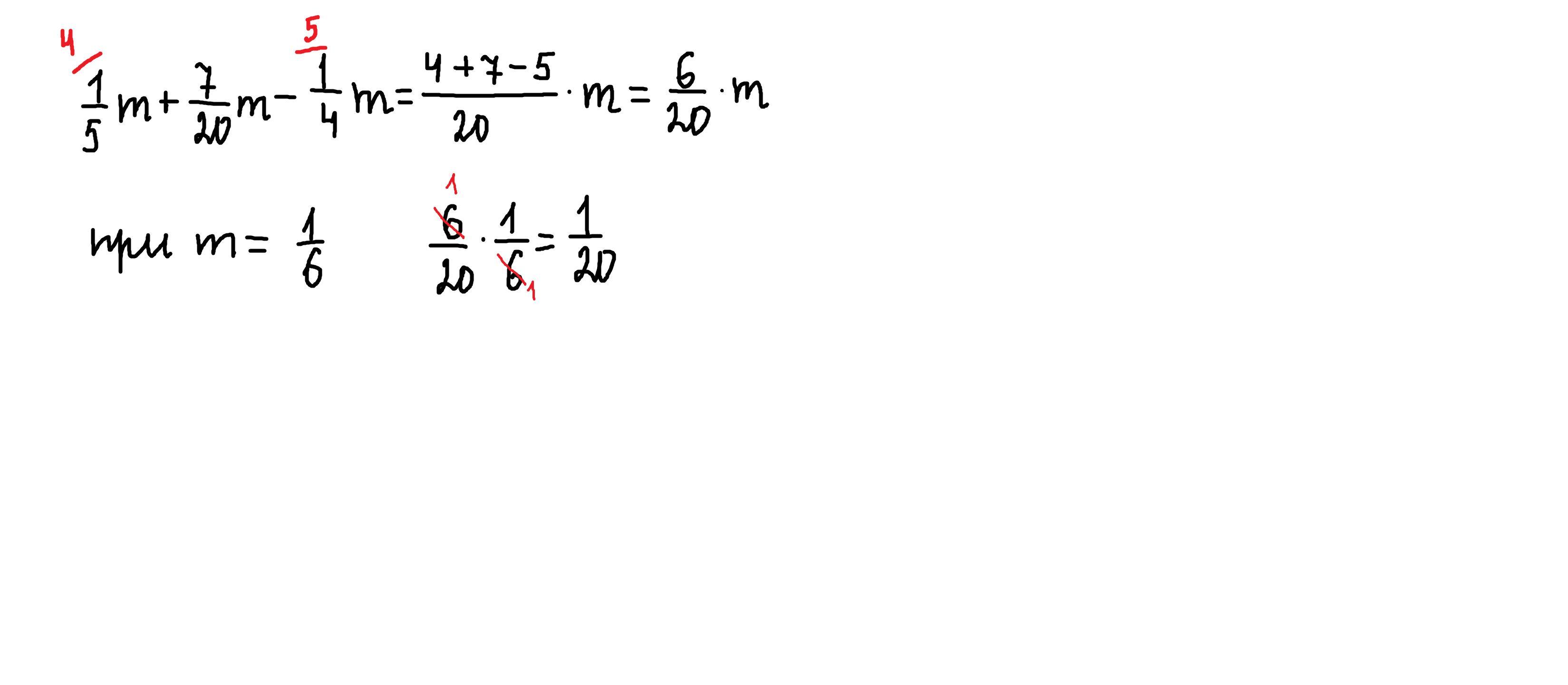
Ответ:
при m=1\6 равно 1\20
Пошаговое объяснение:
Приложения:
Похожие вопросы
Предмет: Русский язык,
автор: marishka20011
Предмет: Русский язык,
автор: vkdd
Предмет: Окружающий мир,
автор: 031206vika
Предмет: Математика,
автор: merrytea
Предмет: Алгебра,
автор: dashadidenko