Предмет: Алгебра,
автор: ismailovalimdar
СРОЧНО!!!
ВАРИАНТ 1
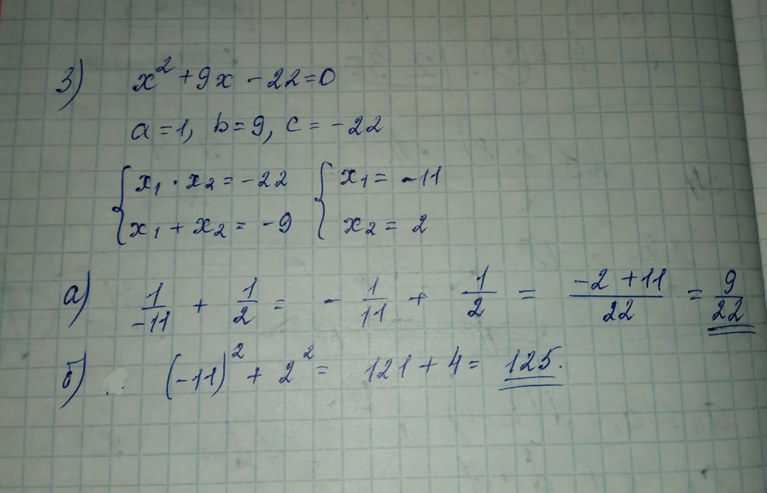
3. Известно, что уравнения x² + 9x - 22-0 имеют корни xy и x2, используя t. Найдите Виета:
4) x² + x². а) 1; X2 X1 4. Разложите трехсторонний квадрат на множителях:
a) x² -8x + 15
б) 5x² + 9x
Приложения:
Ответы
Автор ответа:
3
3. на фото.
4.
а) x²-8x+15= x²-3x-5x+15= x*(x-3)-5*(x-3)=(x-3)*(x-5)
б) 5x²+9x-2=5x²+10x-x-2=5x*(x+2)-(x+2)=(x+2)*(5x-1)
Приложения:
FaerVator:
ой стоп скрин не совпадает я просто одному тоже отвечал думал совпадает
щяс исправлю
ок
исправить можешь или новый создать?
всё
спасибо
Похожие вопросы
Предмет: Русский язык,
автор: MarcoGrand
Предмет: Английский язык,
автор: МаргаритаХолодова
Предмет: Русский язык,
автор: Аноним
Предмет: Русский язык,
автор: sonyastepanova17
Предмет: Математика,
автор: AnnaLetunova