Предмет: Математика,
автор: liliyakareva544
пж нужно срочно даю 30 балов
Приложения:
Ответы
Автор ответа:
1
Ответ:
Пошаговое объяснение:
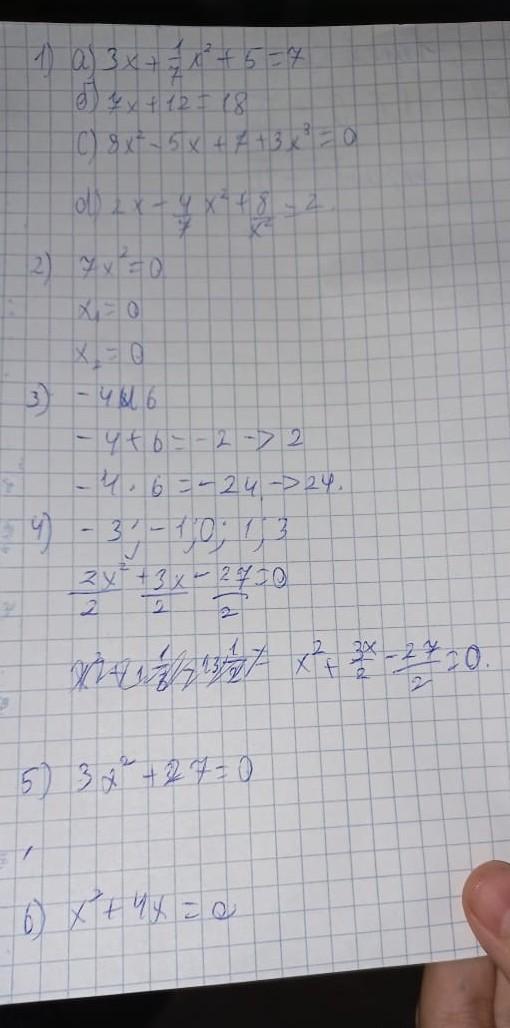
5) 3x^2+27=0
3x^2= -27
x^2= -27/3
x^2=, корней нет, так как -(с/а)<0
6) x^2+4x=0
x*(x+4)=0 произведение равно 0, если хотя бы один из множителей равен 0, отсюда
х1=0 х+4=0
х2= -4
Похожие вопросы
Предмет: Русский язык,
автор: STERVA1111
Предмет: Русский язык,
автор: 123130
Предмет: Русский язык,
автор: supersvet73
Предмет: Алгебра,
автор: Konfeeta838838
Предмет: Английский язык,
автор: ivan4549