Предмет: Физика,
автор: biologySUCKS
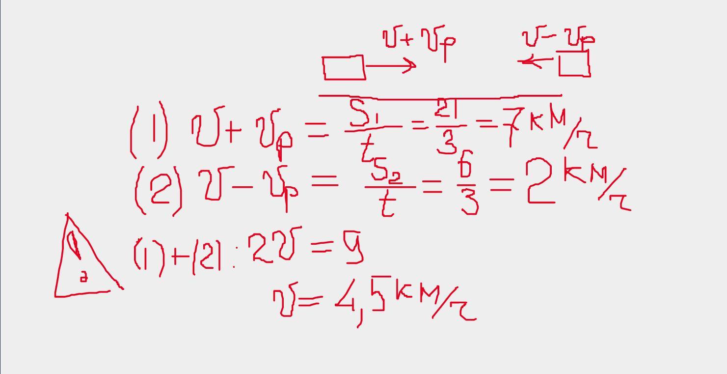
Катер, двигаясь по течению реки равномерно относительно воды, за 3 часа проходит расстояние 21 км, а в обратную сторону за то же время проходит расстояние 6 км. Скорость течения реки постоянна. Определите скорость катера в стоячей воде. Ответ дайте в километрах в час
Ответы
Автор ответа:
1
Дано:
t = 3ч
S = 21км
S' = 6км
v катера - ?
Решение: Пусть v - скорость катера, а v' - скорость реки, тогда:
По течению: v + v' = S/t
Против течения: v - v' = S'/t
Сложим первое уравнение со вторым:
v + v' + v - v' = S/t + S'/t
2v = (S + S')/t
v = (S + S')/2t
v = (21 + 6)км / 2*3ч = 4,5км/ч
Приложения:
Похожие вопросы
Предмет: Русский язык,
автор: чтотакоепогода
Предмет: Русский язык,
автор: volchok1370
Предмет: Русский язык,
автор: mariasemyonowa
Предмет: Математика,
автор: 224571160alesi
Предмет: Математика,
автор: foxi52