Предмет: Алгебра, автор: cbni7

ПОМОГИТЕЕЕЕЕЕЕЕЕЕЕЕЕЕЕЕ 4)​

Приложения:

cbni7: мне оченннннннь нужно
cbni7: помогите срочно
55555555552187: сколько времени есть?
cbni7: ок
cbni7: просто сделай
cbni7: и объясни как ты сделала!
cbni7: пж
cbni7: жду ответ

Ответы

Автор ответа: 55555555552187
1

Ответ:

см ниже

Объяснение:

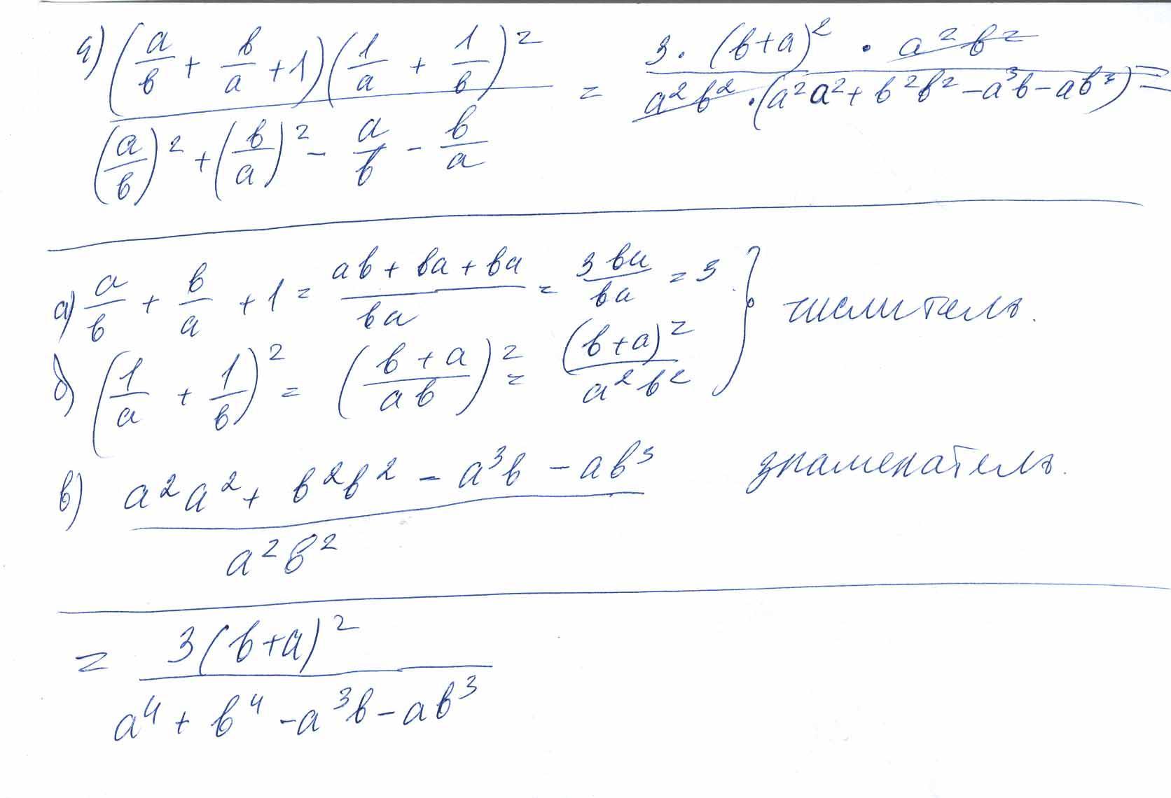
решение на фото

Приложения:

cbni7: спасибо большое
Автор ответа: Zikkkkkkkk
1
Фотографии и есть ответ
Приложения:

cbni7: спасибо большое
cbni7: подпишись пожалуйста
Похожие вопросы
Предмет: Русский язык, автор: Leric11
Предмет: Русский язык, автор: Аноним
Предмет: Русский язык, автор: antak
1. Какое утверждение неверное?

а) Словосочетание — соединение двух и более знаменательных слов, связанных на основе подчинительной связи.

б) В словосочетании выделяются главные и зависимые слова.

в) Различаются три вида сочинительной связи словосочетаний — согласование, управление, примыкание.

г) При виде связи управление зависимое слово ставится в том падеже, который требует главное слово.

2. Какое сочетание слов является словосочетанием?

а) семеро козлят
б) согласно распоряжению
в) дело в шляпе
г) радостное событие

3. В каком ряду у всех словосочетаний вид связи согласование?

а) безоблачное небо, увиденное чудо, их работа
б) твои поступки, весьма интересный, будущий учитель
в) светлый пиджак, хитрая улыбка, разница во времени
г) объективные обстоятельства, летняя практика, румяное лицо

4. В каком ряду у всех словосочетаний вид связи примыкание?

а) увлеченно читать, вовремя проснуться, радоваться оценке
б) по-осеннему хмуро, выглядеть устало, очень сладкий
в) вечности бытия, великие открытия, петь на бис
г) сидеть пригорюнившись, увлечённо говорить, радоваться подарку

5. В каком ряду у всех словосочетаний вид связи управление?

а) испытывать неловкость, забота о ближнем, приветливо улыбнуться
б) идти пешком, слегка проголодаться, вечные ценности
в) думы о приятном, беречь природу, школа танцев
г) тип связи, его учебник, рисовать красками