Предмет: Математика,
автор: dzhanzakovaisha
Можете помочь пожалуйста,математика 5 класс,это сложно для меня
Приложения:
Ответы
Автор ответа:
0
Вот она.. Я думала ето прав
Приложения:
Автор ответа:
0
/-это дробь
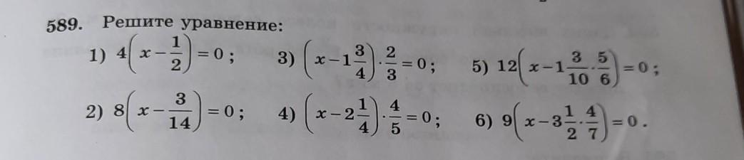
1)х-1/2=0
х=1/2
2)х-3/14=0
х=3/14
3)х-1•3/4=0
х=1•3/4
4)х-2•1/4=0
х=2•1/4
5)х-1•3/10•5/6=0
х=13/12
6)х-3•1/2•4/7=0
х=2
Надеюсь помогла
1)х-1/2=0
х=1/2
2)х-3/14=0
х=3/14
3)х-1•3/4=0
х=1•3/4
4)х-2•1/4=0
х=2•1/4
5)х-1•3/10•5/6=0
х=13/12
6)х-3•1/2•4/7=0
х=2
Надеюсь помогла
Похожие вопросы
Предмет: Английский язык,
автор: Mashik000
Предмет: Английский язык,
автор: Ralli12345
Предмет: Русский язык,
автор: sevkatazhiba
Предмет: Физика,
автор: leoangelo2002
Предмет: Математика,
автор: komserg30
•-можно считать что это как “целых”