Предмет: Алгебра, автор: Аноним

ВСЕ НА СКРИНЕ ДАЮ 30 ЬАЛОВ

Приложения:

Ответы

Автор ответа: angelinaberezhnaya8
0

Ответ:

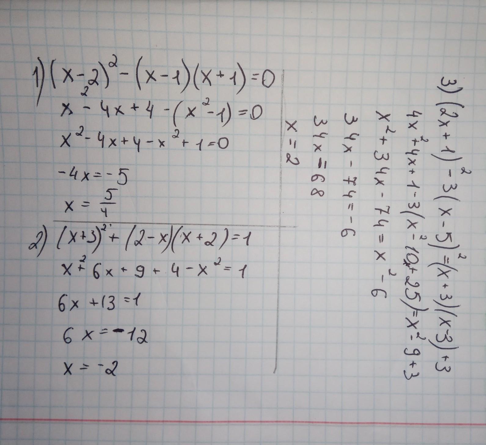
1) х=5/4

2)х=-2

3)х=2

Объяснение:

Удачки!!)

Приложения:
Автор ответа: daryaburtovaya
1

Ответ:

(x - 2) ^{2}  - (x - 1)(x + 1) = 0 \\ x^{2}  - 4x + 4 - ( {x}^{2}  - 1) = 0 \\  {x}^{2}  - 4x + 4 -  {x}^{2}  + 1 = 0 \\  - 4x + 5 = 0 \\  - 4x =  - 5 \\ x =  \frac{5}{4}  = 1 \tfrac{1}{4}  = 1.25

(x + 3) ^{2}  + (2 - x)(x + 2) = 1 \\  {x}^{2}  + 6x + 9 + (2 - x)(2 + x) = 1 \\  {x}^{2}  + 6x + 9 + 4 -  {x}^{2}  = 1 \\ 6x + 13 = 1 \\ 6x =  - 12 \\ x =  - 2

(2x + 1) ^{2}  - 3(x - 5) = (x  + 3)(x - 3) + 3 \\  {4x}^{2}  + 4x + 1 - 3( {x}^{2}  - 10x + 25) =  {x}^{2}  - 9 + 3 \\  {4x}^{2}  + 4x + 1 - 3 {x}^{2}  + 30x - 75 =  {x}^{2}  - 6 \\  {x}^{2}  + 34x - 74 =  {x}^{2}  - 6 \\ 34x =  - 6 + 74 \\ 34x = 68 \\ x = 2


daryaburtovaya: сама решила, используя формулы сокращенного умножения для раскрытия скобок
daryaburtovaya: в этом приложении есть функция "вставить формулу", я ей и воспользовалась, это не фото.
Похожие вопросы
Предмет: Английский язык, автор: fedyaninav05
Предмет: Русский язык, автор: Верочка2006
Предмет: Русский язык, автор: карпованастя