Предмет: Математика,
автор: 64g7xmx8w6
Буду очень признательна !!!!
Приложения:
Ответы
Автор ответа:
1
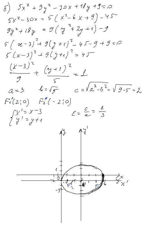
Ответ:
Пошаговое объяснение:
думаю, что так
Приложения:
Похожие вопросы
Предмет: Русский язык,
автор: тчьчьыд
Предмет: Русский язык,
автор: kalina20
Предмет: Українська мова,
автор: Анастасіяcat
Предмет: Математика,
автор: alievarena81
Предмет: Алгебра,
автор: orsmustdiee