Предмет: Геометрия,
автор: DANAMALDYBEKOVA
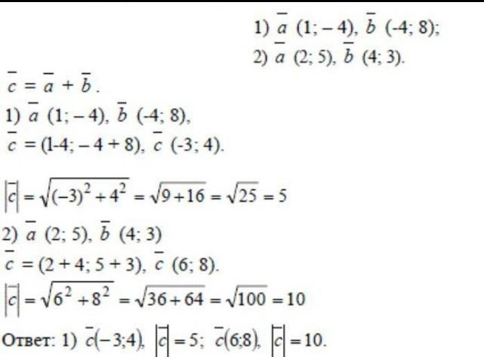
При разности векторов а(-4:10) и в(4,4) находим абсолютную величину вектора С.
Ответы
Автор ответа:
0
Объяснение:
отметь как лучший ответ 5.0
Приложения:
DANAMALDYBEKOVA:
это абсолютно разные решения
Похожие вопросы
Предмет: Українська мова,
автор: Monrо1982
Предмет: Русский язык,
автор: solovevaelizaveta
Предмет: Другие предметы,
автор: 1231811
Предмет: Английский язык,
автор: school00728