Предмет: Алгебра,
автор: alexalesenko
Мало очков срочно решите
Приложения:
Ответы
Автор ответа:
1
Ответ:
Объяснение:
общий знаменатель
Приложения:
Автор ответа:
0
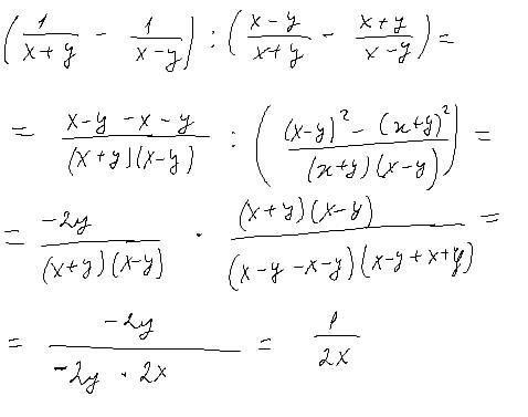
1/2х
Объяснение:
сначала преобразовать выражение, раскрыть скобки,сократить дроби, сократить противоположные слагаемые, вычислить,выполнить деление, сократить дроби.
Похожие вопросы
Предмет: Русский язык,
автор: Аноним
Предмет: Русский язык,
автор: Аноним
Предмет: Русский язык,
автор: Удалюаккчерез10мин
Предмет: История,
автор: Ararat26200609
Предмет: Литература,
автор: Аноним